Capacidade movimentação
CPA TERMINAL PARANAGUÁ S. A.
CPA/TERIN.
PARANAGUÁ (PR)
CAPACIDADE DE MOVIMENTAÇÃO
O TERMINAL É TITULAR DA AO/ANP Nº 643/2020
O PRESENTE DOCUMENTO FOI ELABORADO EM ATENDIMENTO AO DISPOSTO NA RESOLUÇÃO ANP Nº 881/2022
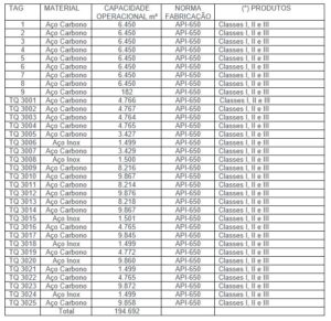
1) CAPACIDADE DO TERMINAL:

(*) Todos os Tanques estão autorizados a armazenar Produtos das Classes I, II e III, destacando-se: Gasolinas, Óleo Diesel, Etanol Combustível, Biodiesel, Mistura Óleo Diesel/Biodiesel, Solventes, Lubrificantes, etc.
O Terminal pode operar 24 (vinte e quatro) horas/dia, caso se mostre necessário.
GIRO:
Para fins de cálculo, estima-se que o Terminal possa “Girar” por mês, 0,54 vezes** a Capacidade Operacional de seus Tanques.
Portanto, a Capacidade Operacional Total pode ser estimada em 105.134 m³
** Média histórica dos últimos 4 anos.
1.1) CAPACIDADE MÁXIMA DE MOVIMENTAÇÃO:
Capacidade de Recebimento e de Expedição de Produtos:
1.1.1-) Modal Rodoviário:
– O Terminal possui 02 (duas) Plataforma Rodoviária, com 12 (doze) baias, destinadas às Operações de Carregamento e Descarregamento de Caminhões Tanque.
– Para Operações de Carregamento/Descarregamento Rodoviário:
Para as Operações de Carregamento e/ou Descarregamento Rodoviário, o Terminal conta com 05 (cinco) Bombas (conjuntos Motor/Bomba), com Vazão Média de 120 m³/h.
O “Tempo Estimado” para Carregamento e Descarregamento Rodoviário, engloba a hora de ingresso do veículo no Terminal, Check-List, Operação, emissão dos documentos fiscais e saída do veículo do Terminal.
Tempo estimado para Carregamento de um Caminhão Tanque: 2h 30 min
Tempo estimado para Descarregamento de um Caminhão Tanque: 2h 30 min
CAPACIDADE MÉDIA MENSAL ESTIMADA DE MOVIMENTAÇÃO DO MODAL RODOVIÁRIO:
Para cálculo da Estimativa de Movimentação Média do Terminal, considerou-se a média histórico dos últimos 4 anos
– 16 horas/dia, operando 22 dias/mês (média).
– 08 (oito) Veículos/hora (média) – Carga ou Descarga de Produtos.
– 2.760 Veículos/mês.
– 118.000 m³/mês (média estimada).
Portanto, estima-se a Capacidade Média para Operações de Recepção e de Expedição de Produtos:
– 59.000 m³/mês para Operações de Expedição de Produtos – Carregamento de Caminhões.
– 59.000 m³/mês para Operações de Recepção de Produtos – Descarregamento de Caminhões.
Os números poderão ser revistos mensalmente.
1.1.2 – MODAL MARÍTIMO:
O Terminal está ligado ao Píer Público de Líquidos do Porto de Paranaguá (PR), através de 02 (dois) Dutos Portuários, com Capacidade de Vazão de aproximadamente 600 m³/h.
Considerando o Terminal operando 08:00 h/dia, para Operações via Modal Marítimo, as operações podem ser estendidas por até 16:00 h/dia, visto a necessidade de serem atendidas as demandas tanto do Cliente (Carregador), como da empresa proprietária da embarcação (Armador).
Na presente estimativa, considera-se a operação de 01 (um) Duto para Operação de Expedição de Produto e 01 (um) Duto para recepção de Produto.
Portanto, estima-se as seguintes Capacidades de Operação/dia:
– Operação de Expedição de Produto:
Até 10.000 m³/dia, operando até 16:00 h/dia, com Vazão aproximada de 600 m³/dia.
– Operação de Recepção de Produto:
Até 10.000 m³/dia, operando até 16:00 h/dia, com Vazão aproximada de 600 m³/dia.
1.1.3 – MODAL FERROVIÁRIO:
O Terminal conta com 01 (uma) Plataforma Ferroviária, contendo 28 (vinte e oito) Pontos de Acostamento para Vagões Tanque.
– Operações de Carregamento/Descarregamento de Vagões Tanque:
CAPACIDADE MÉDIA MENSAL ESTIMADA DE MOVIMENTAÇÃO DO MODAL FERROVIÁRIO:
Para cálculo da Estimativa de Movimentação Média do Terminal, considerou-se:
– Vagão tanque de 60 m³
– 28 vagões tanques simultâneos
– Totalizando máximo de 1.680 m³ para cada encoste de 28 vagões.
Portanto, estima-se as seguintes capacidades:
– Capacidade Máxima diária para expedição de produto via Modal Ferroviário: 840 m³/dia.
– Capacidade Máxima diária para recepção de produto via Modal Ferroviário: 840 m³/dia.
2) ACOMPANHAMENTO E REVISÃO DO PRESENTE DEMONSTRATIVO:
O Presente Demonstrativo será revisto periodicamente, sendo atualizado em conformidade com as operações do Terminal.
Paranaguá (PR), 05 de fevereiro de 2.025.
