Handling Capacity
CPA TERMINAL PARANAGUÁ S. A.
CPA/TERIN.
PARANAGUÁ (PR)
HANDLING CAPACITY
THE TERMINAL HOLDS AO/ANP No. 643/2020
THIS DOCUMENT WAS DRAFTED IN COMPLIANCE WITH THE PROVISIONS OF ANP RESOLUTION NO. 881/2022.
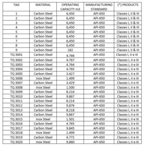
1) TERMINAL CAPACITY:

(*) All Tanks are authorized to store Class I, II, and III Products, highlighting: Gasolines, Diesel Fuel, Ethanol Fuel, Biodiesel, Diesel Fuel/Biodiesel Blends, Solvents, Lubricants, etc.
The Terminal can operate 24 (twenty-four) hours a day, if necessary.
TURNOVER:
For calculation purposes, it is estimated that the Terminal can have a monthly Turnover of 0.54 times** the Operating Capacity of its Tanks.
Therefore, the Total Operating Capacity can be estimated at 105,134 m³
** Historical average of the last 4 years.
1.1) MAXIMUM HANDLING CAPACITY:
Ability to Receive and Ship Products:
1.1.1-) Road Modal:
– The Terminal has 02 (two) Road Platform, with 12 (twelve) bays, used for the Tank Truck Loading and Unloading Operations.
– For Road Loading/Unloading Operations:
For Road Loading and/or Unloading Operations, the Terminal has 05 (five) Pumps (Motor/Pump sets), with an Average Flow of 120 m³/h.
The “Estimated Time” for Road Loading and Unloading includes the time it takes for the vehicle to enter the Terminal, go through the checklist, for the operation to be completed, for tax document issuance, and for the vehicle to exit from the Terminal.
Estimated Time to Load a Tank Truck: 2 hours 30 min
Estimated Time to Unload a Tank Truck: 2 hours 30 min
ESTIMATED AVERAGE MONTHLY ROAD MODAL HANDLING CAPACITY:
The historical average of the last 4 years was considered to calculate the Terminal’s Average Handling Estimate
– 16 hours/day, operating 22 days/month (average).
– 08 (eight) Vehicles/hour (average) – Loading or Unloading of Products.
– 2,760 Vehicles/month.
– 118,000 m³/month (estimated average).
Therefore, the Average Capacity for Product Receipt and Shipment Operations is estimated:
– 59,000 m³/month for Product Shipping Operations – Truck Loading.
– 59,000 m³/month for Product Receipt Operations – Truck Unloading.
The figures may be revised monthly.
1.1.2– Maritime Modal:
The Terminal is connected to the Public Liquids Pier of the Port of Paranaguá (PR) by means of 02 (two) Port Pipelines with a Flow Capacity of approximately 600 m³/h.
Considering the Terminal operating 8 hours per day for Operations via the Maritime Modal, operations can be extended to up to 16 hours per day, given the need to meet the demands of both the Customer (Shipper) and of the company that owns the vessel (Shipowner).
This estimate considers the operation of 01 (one) Pipeline for Product Shipment and 01 (one) Pipeline for Product Receipt.
Therefore, the following Operation Capabilities/day are estimated:
– Product Shipment Operation:
Up to 10,000 m³/day, operating up to 16 hours per day, with an approximate flow of 600 m³/day.
– Product Receipt Operation:
Up to 10,000 m³/day, operating up to 16 hours per day, with an approximate flow of 600 m³/day.
1.1.3 – RAIL MODAL:
The Terminal has 01 (one) Rail Platform, containing 28 (twenty-eight) Berthing Positions for Tank Cars.
– Tank Car Loading/Unloading Operations:
ESTIMATED AVERAGE MONTHLY RAIL TRANSPORT HANDLING CAPACITY:
The following was considered to calculate the Terminal Average Handling Estimate:
– 60 m³ tank car
– 28 simultaneous tank cars
– Totaling a maximum of 1,680 m³ for each 28-car side.
Therefore, the following Operation Capabilities/day are estimated:
– Maximum daily capacity for product shipment via the Rail Modal: 840 m³/day.
– Maximum daily capacity for product receipt via the Rail Modal: 840 m³/day.
2) FOLLOW-UP AND REVISION OF THIS STATEMENT:
The Present Statement will be revised periodically, being updated in accordance with the Terminal’s operations.
Paranaguá (PR), February 5, 2025.
